4.0 Big picture
The properties of different materials are dependent on the type of bonding between the atoms.

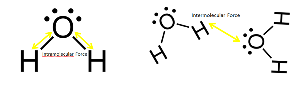
Chemical bonds/forces are divided into two BIG categories, then each category is divided into three smaller types.
Do I have to keep saying "electrostatic attraction" whenever I define something? Yes, you do. Atoms don't have free will, they don't "choose" to be attracted to something, they just do, it's "electrostatic attraction"
Look at the 2 mins YouTube video below if it's still unclear
Within the intramolecular category, there are three types
Within the intermolecular category, there are three main types
